General Instructions:
Read the following instructions very carefully and strictly follow them:
- This question paper comprises 39 questions. All questions are compulsory.
- This question paper is divided into five sections – A, B, C, D and E.
- Section A – Questions No. 1 to 20 are Multiple Choice Questions. Each question carries 1 mark.
- Section B – Questions No. 21 to 26 are Very Short Answer type questions. Each question carries 2 marks. Answer to these questions should be in the range of 30 to 50 words.
- Section C – Questions No. 27 to 33 are Short Answer type questions. Each question carries 3 marks. Answer to these questions should in the range of 50 to 80 words.
- Section D – Questions No. 34 to 36 are Long Answer type questions. Each question carries 5 marks. Answer to these questions should be in the range of 80 to 120 words.
- Section E – Questions No. 37 to 39 are of 3 source-based/case-based units of assessment carrying 4 marks each with sub-parts.
- There is no overall choice. However, an internal choice has been provided in some sections. Only one of the alternatives has to be attempted in such questions.
SECTION – A (20 x 1 = 20)
Select and write one most appropriate option out of the four options given for each of the questions 1 – 20 :
1. In the experimental set up given below, it is observed that on passing the gas produced in the reaction in the solution ‘X’ first turns milky and then colourless.

The option that justifies the above stated observation is that ‘X’ is aqueous calcium hydroxide and
(a) it turns milky due to carbon dioxide has liberated in the reaction and after sometime it becomes colourless due to formation of calcium carbonate.
(b) it turns milky due to formation of calcium carbonate and on passing excess of carbon dioxide it becomes colourless due to formation of calcium hydrogen carbonate which is soluble in water.
(c) it turns milky due to passing of carbon dioxide through it. It turns colourless on further passing carbon dioxide, sodium hydrogen carbonate is formed which is soluble in water.
(d) the carbon dioxide liberated during the reaction turns water milky due to formation of calcium hydrogen carbonate and after some time it turns colourless due to formation of calcium carbonate which is soluble in water.
2. The emission of brown fumes in the given experimental set-up is due to

(a) thermal decomposition of lead nitrate which produces brown fumes of nitrogen dioxide.
(b) thermal decomposition of lead nitrate which produces brown fumes of lead oxide.
(c) oxidation of lead nitrate forming lead oxide and nitrogen dioxide.
(d) oxidation of lead nitrate forming lead oxide and oxygen.
3. MnO₂ + xHCl → MnCl₂ + yH₂O + zCl₂
In order to balance the above chemical equation, the values of x, y and z respectively are :
(a) 6, 2, 2
(b) 4, 2, 1
(c) 6, 4, 2
(d) 4, 2, 2
4. The table below has information regarding pH and the nature (acidic, basic or salt) of four different solutions. Which one of the options in the table is correct ?
| Option | Solution | Colour of pH paper | Approximate pH value | Nature of solution |
| (a) | Lemon juice | Orange | 3 | Basic |
| (b) | Milk of magnesia | Blue | 10 | Basic |
| (c) | Gastric juice | Red | 7 | Acidic |
| (d) | Pure water | Yellow | 6 | Neutral |
5. A metal ‘X’ is used in thermite process. When X is burnt in air it gives an amphoteric oxide ‘Y’. ‘X’ and ‘Y’ are respectively :
(a) Fe and Fe₂O₃
(b) Al and Al₂O₃
(c) Fe and Fe₃O₄
(d) Al and Al₂O₃
6. Select washing soda from the following :
(a) NaHCO₃
(b) Na₂CO₃·5H₂O
(c) Na₂CO₃·10H₂O
(d) NaOH
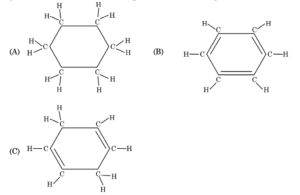
7. Consider the structures of three cyclic carbon compounds A, B and C given below and select the correct option from following :

(a) A and C are isomers of hexane, B is benzene.
(b) A is an isomer of hexane, B is benzene and C is an isomer of hexene.
(c) A is a saturated cyclic hydrocarbon and B and C are unsaturated cyclic hydrocarbons.
(d) A is cyclohexane and B and C are the isomers of benzene.
8. An organism which breaks down the food material outside the body and then absorbs it is
(a) a plant parasite, Cuscuta
(b) an animal parasite, Tapeworm
(c) a bacteria, Rhizobium
(d) a fungi, Rhizopus
9. Consider the following statements about small intestine and select the one which is NOT correct.
(a) The length of the small intestine in animals differs as it depends on the type of food they eat.
(b) The small intestine is the site of complete digestion of food.
(c) The small intestine receives secretions from liver and pancreas.
(d) The wall of the small intestine absorbs water from the undigested food before it gets removed from the body via the anus.
10. The statement that correctly describes the characteristic of a gene is :
(a) In individuals of a given species, a specific gene is located on a particular chromosome.
(b) A gene is not the information source for making proteins in the cell.
(c) Each chromosome has only one gene located all along its length.
(d) All the inherited traits in human beings are not controlled by genes.
11. Select from the following the correct statement about tropic movement in plants :
(a) It is due to stimulus of touch and temperature.
(b) It does not depend upon the direction of stimulus received.
(c) It is observed only in roots and not in stems.
(d) It is a growth related movement.
12. Select the INCORRECT match (between the plant and its vegetative part) from the following :
(a) Bryophyllum, leaf
(b) Potato, stem
(c) Money-plant, stem
(d) Rose, root
13. If four identical resistors, of resistance 8 ohm, are first connected in series so as to give an effective resistance R₁ and then connected in parallel so as to give an effective resistance R₂, then the ratio R₁/R₂ is :
(a) 32
(b) 2
(c) 0.5
(d) 16
14. In domestic electric circuit the wiring with 15 A current rating is for the
(a) decorative devices which have
(b) higher power ratings such as geyser.
(c) lower power ratings such as fans.
(d) metallic bodies and low power ratings.
15. In the following diagram, the position of the needle as shown on the scale of a voltmeter. The least count of the voltmeter and the reading shown by it respectively are :
(a) 0.15 V and 1.6 V
(b) 0.05 V and 1.6 V
(c) 0.15 V and 1.8 V
(d) 0.05 V and 1.8 V
16. The resultant magnetic field at point P situated midway between two parallel wires (placed horizontally) each carrying a steady current I is

(a) in the same direction as the current in the wires.
(b) in the vertically upward direction.
(c) zero
(d) in the vertically downward direction.
Nos. 17 to 20 are Assertion – Reason based questions.
17. Assertion (A) : The colour of aqueous solution of copper sulphate turns colourless when a piece of iron is added to it.
Reason (R) : Lead is more reactive than copper, and hence displaces copper from its salt solution.
18. Assertion (A) : Genes inherited from the parents decide the sex of a newborn child.
Reason (R) : X chromosome in a male child is inherited from his father.
19. Assertion (A) : Blood clotting prevents excessive loss of blood.
Reason (R) : Blood clotting is due to blood plasma and white blood cells present in the blood.
20. Assertion (A) : The strength of the magnetic field produced at the centre of a current carrying circular coil increases on increasing the number of turns in it.
Reason (R) : The current in each circular turn has the same direction and the magnetic field due to each turn just adds up.
ANSWERS OF SECTION-A
- (b)
- (a)
- (c)
- (b)
- (b)
- (c)
- (c)
- (d)
- (d)
- (a)
- (d)
- (d)
- (d)
- (a)
- (c)
- (c)
- (a)
- (c)
- (c)
- (a)
SECTION – B (6 X 2 = 12)
No. 21 to 26 are very short answer questions.
21. (a)
(i) A compound ‘X’ which is prepared from gypsum has the property of hardening when mixed with proper quantity of water.
Identify ‘X’ and write its chemical formula.
(ii) State the difference in chemical composition between baking soda and baking powder.
OR
(b) Write balanced chemical equation for the reaction that occurs when :
(i) blue coloured copper sulphate crystals are heated and
(ii) sodium hydrogen carbonate is heated during cooking.
22. (a) Write the role of insulin in regulating blood sugar levels in humans. Mention the disease caused due to it.
(b) How is the timing and the amount of release of insulin in the blood regulated ?
23. (a) Name the type of blood (oxygenated / deoxygenated) transported by each of the following mentioning the path (i.e. from one organ (which place) to another (which place)).
(i) Vena cava
(ii) Pulmonary artery
OR
(b) With the help of a schematic flow chart, show the breakdown of glucose in a cell to provide energy –
(i) in the presence of oxygen
(ii) in lack of oxygen
24. Name the part of the human excretory system where nephrons are found. Write the structure and function of nephron.
25. (a) A narrow beam XY of white light is passing through a glass prism ABC as shown in the diagram :

Trace in your answer sheet and show the path of the emergent beam as observed on the screen PQ.
Name the phenomenon observed and state its cause.
OR
(b) It is observed that the power of an eye to see nearby objects as well as far off objects diminishes with age.
(i) Give reason for the above statement.
(ii) Name the defect that is likely to arise in the eyes in such a condition.
(iii) Draw a labelled ray diagram to show the type of corrective lens used for restoring the vision of such an eye.
26. How do harmful chemicals get accumulated progressively at each trophic level in a food chain ?
ANSWERS OF SECTION-B
21. (a)
(i) The compound ‘X’ is Plaster of Paris.
Its chemical formula is CaSO₄·½H₂O.
(ii) Baking soda is pure sodium hydrogen carbonate (NaHCO₃), whereas baking powder is a mixture of sodium hydrogen carbonate and a mild edible acid such as tartaric acid.
OR
21. (b)
(i) When blue coloured copper sulphate crystals are heated, they lose water of crystallisation and turn white.
CuSO₄·5H₂O → CuSO₄ + 5H₂O
(ii) When sodium hydrogen carbonate is heated during cooking, it decomposes to form sodium carbonate, carbon dioxide and water.
2NaHCO₃ → Na₂CO₃ + H₂O + CO₂
22. (a)
Insulin helps in regulating blood sugar level by converting excess glucose present in the blood into glycogen, which is stored in the liver and muscles.
The disease caused due to imbalance of insulin in the blood is diabetes mellitus.
(b)
The timing and amount of release of insulin in the blood is regulated by the level of glucose present in the blood. When blood glucose level increases, more insulin is released and when it decreases, insulin secretion is reduced.
23. (a)
(i) Vena cava carries deoxygenated blood from different parts of the body to the right atrium of the heart.
(ii) Pulmonary artery carries deoxygenated blood from the right ventricle of the heart to the lungs.
OR
23. (b)
In the presence of oxygen :
Glucose → Carbon dioxide + Water + Energy
In lack of oxygen :
Glucose → Lactic acid + Energy
24.
Nephrons are found in the kidneys.
A nephron consists of a cup-shaped Bowman’s capsule, a glomerulus, renal tubule and collecting duct. Its function is to filter blood, remove waste substances and excess water, and form urine.
25. (a)
The emergent beam splits into different colours forming a spectrum on the screen PQ.
The phenomenon observed is dispersion of white light.
This occurs because different colours of white light have different wavelengths and hence bend by different amounts when passing through a glass prism.
OR
25. (b)
(i) This happens due to weakening of ciliary muscles and reduced flexibility of the eye lens with age.
(ii) The defect is called presbyopia.
(iii) It is corrected using bifocal lenses.
26.
Harmful chemicals get accumulated progressively at each trophic level in a food chain because they are non-biodegradable and cannot be broken down. As they pass from one trophic level to another, their concentration increases, leading to biomagnification.
SECTION – C (7 x 3 = 21)
No. 27 to 33 are short answer questions.
27. (a) Identify the reducing agent in the following reactions :
(i) 4NH₃ + 5O₂ → 4NO + 6H₂O
(ii) H₂ + F₂ → 2HF
(iii) Fe₂O₃ + CO → 2Fe + 3CO₂
(iv) 2H₂ + O₂ → 2H₂O
(b) Define a redox reaction in terms of gain or loss of oxygen.
28. (a) Suggest one remedial measure each to counteract the change in pH in human beings in following cases :
(i) Production of too much acid in stomach during indigestion
(ii) Stung by a honey bee / nettle leaves
(b) Fresh milk has a pH of 6. When it changes into curd will its pH increase or decrease ? Why ?
29. (a) (i) State the role of ATP in cellular respiration.
(ii) What ensures sufficient exchange of gases in plants ?
(iii) State the conditions on which the direction of diffusion of gases in plant cells depend upon.
OR
(b) (i) What is the internal energy reserve in plants and animals ?
(ii) How desert plants perform photosynthesis if their stomata remain closed during the day ?
30. (a) Complete the following ray diagram to show the formation of image :
(b) Mention the nature, position and size of the image formed in this case.
(c) State the sign of the image distance in this case using the Cartesian sign convention.
31. Give reasons for the following :
(a) Danger signals installed at the airports and at the top of tall buildings are of red colour.
(b) The sky appears dark to the passengers flying at very high altitudes.
(c) The path of a beam of light passing through a colloidal solution is visible.
32.
(a) (i) State the rule used to find the force acting on a current carrying conductor placed in a magnetic field.
(ii) Given below are three diagrams showing entry of an electron in a magnetic field. Identify the case in which the force will
(a) maximum and (b) minimum respectively. Give reason for your answer.
OR
(b) (i) Draw the pattern of magnetic field lines of
(a) a current carrying solenoid
(b) a bar magnet
(ii) List two distinguishing features between the two fields.
33.
(a) (i) Why does a kitchen garden called an artificial ecosystem while a forest is considered to be a natural ecosystem ?
(ii) While designing an artificial ecosystem at home, write any two things to be kept in mind to convert it into a self-sustaining system. Give reason to justify your answer.
OR
(b) Construct a food chain of four trophic levels comprising the following :
Hawk, snake, plants, rat.
(ii) 20,000 J of energy was transferred by the producers to the organisms of second trophic level. Calculate the amount of energy that will be transferred by organisms of the third trophic level to the organisms of fourth trophic level.
ANSWERS OF SECTION-C
27. (a)
(i) NH₃
(ii) H₂
(iii) CO
(iv) H₂
(b)
A redox reaction is a chemical reaction in which oxidation (gain of oxygen) and reduction (loss of oxygen) take place simultaneously.
28. (a)
(i) Excess acid in the stomach can be neutralised by taking antacids such as milk of magnesia.
(ii) The effect of bee sting or nettle leaves can be neutralised by applying a mild base like baking soda.
(b)
The pH of milk decreases when it changes into curd because lactic acid is formed during the process.
29. (a)
(i) ATP acts as an energy currency of the cell and provides energy for various metabolic activities.
(ii) Presence of large intercellular spaces and stomata ensures sufficient exchange of gases in plants.
(iii) The direction of diffusion of gases depends upon the concentration of gases inside and outside the plant cells.
OR
29. (b)
(i) Starch is the internal energy reserve in plants and glycogen is the energy reserve in animals.
(ii) Desert plants perform photosynthesis by opening their stomata at night and storing carbon dioxide for use during the day.
30. (a)
Ray diagram completed showing image formation by a concave mirror.
(b)
The image formed is real, inverted and diminished, and is formed between F and C.
(c)
The image distance is negative according to Cartesian sign convention.
31.
(a) Red colour has the longest wavelength and is scattered least, hence it can be seen from a long distance.
(b) At high altitudes there is very little air, so scattering of light is less and the sky appears dark.
(c) The path of light is visible due to scattering of light by colloidal particles (Tyndall effect).
32. (a)
(i) Fleming’s left hand rule is used to find the direction of force acting on a current carrying conductor in a magnetic field.
(ii) Maximum force – when electron enters perpendicular to magnetic field.
Minimum force – when electron enters parallel to magnetic field.
OR
32. (b)
(i) Magnetic field patterns of a current carrying solenoid and a bar magnet drawn.
(ii)
• Field inside solenoid is uniform, whereas it is non-uniform in a bar magnet.
• Solenoid field strength can be varied, bar magnet field strength cannot.
33. (a)
(i) Kitchen garden is artificial because it is maintained by humans, while forest is natural as it is self-sustaining.
(ii) Proper producers and decomposers must be present so that energy flow and nutrient recycling occur naturally.
OR
33. (b)
Food chain :
Plants → Rat → Snake → Hawk
Energy transferred to third trophic level = 10% of 20,000 J = 2,000 J
Energy transferred to fourth trophic level = 10% of 2,000 J = 200 J
SECTION – D (3 X 5 = 15)
No. 34 to 36 are long answer questions.
34. (a)
A saturated organic compound ‘A’ belongs to the homologous series of alcohols.
On heating ‘A’ with concentrated sulphuric acid at 443 K, it forms an unsaturated compound ‘B’ with molecular mass 28 u.
The compound ‘B’ on addition of one mole of hydrogen in the presence of Nickel, changes into a saturated hydrocarbon ‘C’.
(i) Identify A, B and C.
(ii) Write the chemical equations showing the conversion of A into B.
(iii) What happens when compound C undergoes combustion ?
(iv) State one industrial application of hydrogenation reaction.
(v) Name the products formed when compound A reacts with sodium.
OR
(b)
(i) With the help of diagram, show the formation of micelles, when soap is applied on oily dirt.
(ii) Take two test tubes X and Y with 10 mL of hard water in each. In test tube ‘X’, add few drops of soap solution and in test tube ‘Y’ add a few drops of detergent solution. Shake both the test tubes for the same period.
(1) In which test tube the formation of foam will be more ? Why ?
(2) In which test tube is a curdy solid formed ? Why ?
35.
(a) Name the parts of a bisexual flower that are not directly involved in reproduction.
(b) Differentiate between self pollination and cross pollination. List any two significance of pollination.
(c) What is the fate of ovules and ovary after fertilization in a flower ?
36.
(a) An electric iron consumes energy at a rate of 880 W when heating is at the maximum rate and 330 W when the heating is at the minimum. The source voltage is 220 V, calculate the current and resistance in each case.
(b) What is heating effect of electric current ?
(c) Find an expression for the amount of heat produced when a current passes through a resistor for some time.
ANSWERS OF SECTION-D
34. (a)
(i)
Compound A is ethanol (C₂H₅OH).
Compound B is ethene (C₂H₄).
Compound C is ethane (C₂H₆).
(ii)
When ethanol is heated with concentrated sulphuric acid at 443 K, dehydration takes place and ethene is formed.
C₂H₅OH → C₂H₄ + H₂O
(iii)
When ethane undergoes combustion, it burns in oxygen to produce carbon dioxide, water and heat energy.
2C₂H₆ + 7O₂ → 4CO₂ + 6H₂O + Heat
(iv)
Hydrogenation reaction is used in the manufacture of vegetable ghee from vegetable oils.
(v)
When ethanol reacts with sodium, sodium ethoxide and hydrogen gas are formed.
2C₂H₅OH + 2Na → 2C₂H₅ONa + H₂
OR
34. (b)
(i)
When soap is applied on oily dirt, soap molecules form micelles. The hydrophobic tail of soap molecules attaches to oil particles while the hydrophilic head remains in water, thereby removing oil with water.
(ii)
(1) More foam is formed in test tube Y because detergents are not affected by hard water.
(2) Curdy solid is formed in test tube X because soap reacts with calcium and magnesium ions of hard water forming insoluble scum.
35. (a)
The parts of a bisexual flower not directly involved in reproduction are sepals and petals.
(b)
In self-pollination, pollen is transferred from anther to stigma of the same flower, whereas in cross-pollination, pollen is transferred from one flower to another flower of a different plant of the same species.
Significance of pollination:
• It leads to fertilization and formation of seeds.
• It helps in variation and evolution.
(c)
After fertilization, ovules develop into seeds and the ovary develops into fruit.
36. (a)
When heating is maximum:
Power P = 880 W, Voltage V = 220 V
Current, I = P / V = 880 / 220 = 4 A
Resistance, R = V / I = 220 / 4 = 55 Ω
When heating is minimum:
Power P = 330 W
Current, I = 330 / 220 = 1.5 A
Resistance, R = 220 / 1.5 ≈ 147 Ω
(b)
The heating effect of electric current is the phenomenon in which electrical energy is converted into heat energy when an electric current flows through a conductor.
(c)
The amount of heat produced when a current passes through a resistor for some time is given by Joule’s law of heating:
H = I²Rt
where I is current, R is resistance and t is time.
SECTION – E (3 X 4 = 12)
No. 37 to 39 are case based/data based questions with 2 to 3 short sub-parts. Internal choice is provided in one of these sub-parts.
Q.37
Almost all metals combine with oxygen to form metal oxides. Metal oxides are generally basic in nature. But some metal oxides show both basic as well as acidic behaviour. Different metals show different reactivities towards oxygen. Some react vigorously while some do not react at all.
(a) What happens when copper is heated in air? Give the equation of the reaction involved.
(b) Why are some metal oxides categorized as amphoteric? Give one example.
(c) Complete the following equations:
(i)
(ii)
OR
(c) On burning Sulphur in oxygen, colourless gas is produced.
(i) Write chemical equation for the reaction.
(ii) Name the gas formed.
(iii) State the nature of the gas.
(iv) What will be the action of this on a dry litmus paper?
Q.38
In order to trace the inheritance of traits Mendel crossed pea plants having one or contrasting character or a pair of contrasting characters. When he crossed pea plants having round and yellow seeds with pea plants having wrinkled and green seeds, he observed that no plants with wrinkled and green seeds were obtained in the F₁ generation. When the F₁ generation pea plants were crossed by self-pollination, the F₂ generation had seeds with different combinations of shape and colour also.
(a) Write any two pairs of contrasting characteristics of pea plant used by Mendel other than those mentioned above.
(b) Differentiate between dominant and recessive traits.
(c) State the ratio of the combinations observed in the seeds of F₂ generation (in the above case). What do you interpret from this result?
OR
(c) Given below is a cross between a pure violet flowered pea plant (V) and a pure white flowered pea plant (v). Diagrammatically explain what type of progeny is obtained in F₁ generation and F₂ generation.
Pure violet flowered plant × Pure white flowered plant
(V V) × (v v)
Q.39
Hold a concave mirror in your hand and direct its reflecting surface towards the sun. Direct the light reflected by the mirror on a white cardboard held close to the mirror. Move the cardboard back and forth gradually until you find a bright, sharp spot of light on the board. This spot of light is the image of the sun on the sheet of paper, which is also termed as “Principal Focus” of the concave mirror.
(a) List two applications of concave mirror.
(b) If the distance between the mirror and the principal focus is 15 cm, find the radius of curvature of the mirror.
(c) Draw a ray diagram to show the type of image formed when an object is placed between pole and focus of a concave mirror.
OR
(c) An object 10 cm in size is placed at 100 cm in front of a concave mirror. If its image is formed at the same point where the object is located, find:
(i) focal length of the mirror, and
(ii) magnification of the image formed with sign as per Cartesian sign convention.
ANSWERS OF SECTION-E
Q.37
(a)
When copper is heated in air, it reacts with oxygen to form black coloured copper(II) oxide.
(b)
Some metal oxides are called amphoteric because they react with both acids and bases to form salt and water.
Example: Aluminium oxide .
(c)
(i)
(ii)
OR
(i)
(ii)
The gas formed is sulphur dioxide.
(iii)
The gas is acidic in nature.
(iv)
Dry litmus paper shows no change in colour.
Q.38
(a)
Two contrasting characteristics used by Mendel were plant height (tall and dwarf) and flower colour (violet and white).
(b)
Dominant traits are expressed in the presence of both alleles, whereas recessive traits are expressed only when both alleles are recessive.
(c)
The ratio obtained in F₂ generation is 9 : 3 : 3 : 1.
This indicates that seed shape and seed colour are inherited independently of each other, proving Mendel’s Law of Independent Assortment.
OR
(c)
In F₁ generation, all plants have violet flowers as violet colour is dominant over white.
In F₂ generation, the phenotypic ratio obtained is 3 violet : 1 white.
Q.39
(a)
Concave mirrors are used as shaving mirrors and as reflectors in vehicle headlights.
(b)
Given, focal length cm
Radius of curvature
(c)
When an object is placed between pole and focus of a concave mirror, the image formed is virtual, erect and magnified behind the mirror.
OR
Given, object distance cm
Image distance cm
(i)
Using mirror formula,
(ii)

